9
文登区红十字会
/col/col160756/index.html
通知公告
/col/col160816/index.html
通知公告
首页
>
文登区红十字会
>
通知公告
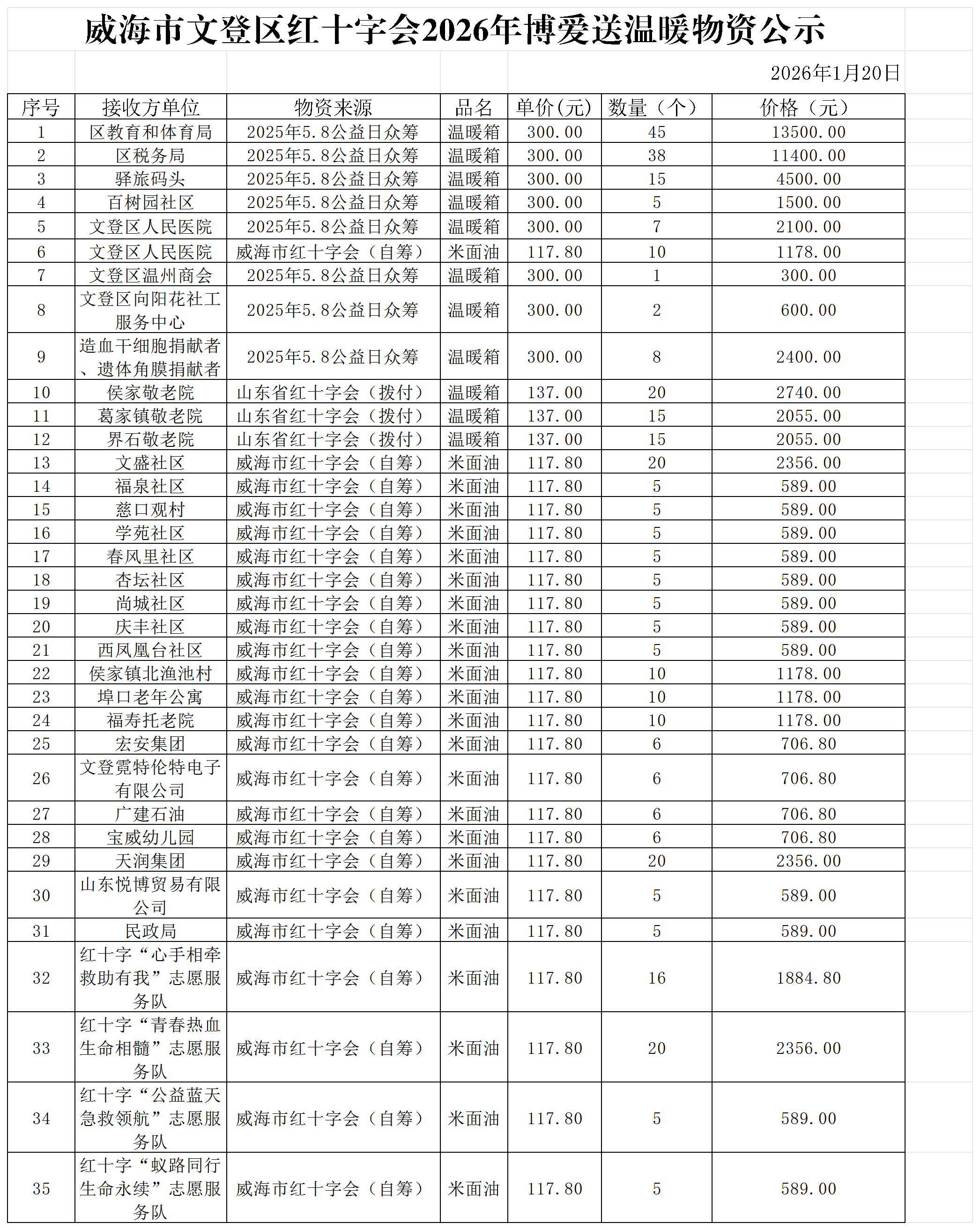
威海市文登区红十字会2026年博爱送温暖物资公示
发布日期:
2026-01-20
访问次数:
信息来源:
威海市文登区红十字会
打印本页
关闭窗口
0631—8455322
wdhszh@wh.shandong.cn
TOP